【机情无限 精彩毕设】机械2022届毕业设计(论文)中期检查优秀案例分享第二十二期
并联式混合动力传动系统的匹配设计
学生姓名:李俊聪
班班级级:车辆2018-06班
指导教师:万里翔
毕设题目:并联式混合动力传动系统的匹配设计


一、概况
1.选题意义
依据十四五“双碳”目标的提出,对于我国交通运输行业,尤其是汽车工业的发展有了更高的要求,汽车尾气排放是当前空气中二氧化碳的主要来源之一,应对气候变化和推动绿色发展离不开汽车行业的改进与完善。《节能与新能源汽车技术路线图2.0》明确指出了新能源汽车发展的必要性和主要方向,发展新能源汽车是我国从汽车大国迈向汽车强国的必由之路,是应对气候变化、推动绿色发展的战略举措。
新能源汽车分为三类,其中纯电动汽车能够做到零污染零排放,但是对于电池的性能要求高,且续航能力不足,用于充电的基础设施还不完善,燃料电池汽车采用的燃料价值高,成本昂贵且配套设施投放大。而目前我们使用最广泛的是混合动力电动汽车,它不仅改善了汽车的燃油经济性和排放性能,还延续和传统汽车续航能力长的优点,而汽车的传动系统对其燃油经济性和排放性能有很大的影响,本课题将针对并联式混合动力电动汽车的传动系统进行设计和完成各参数的匹配,使汽车满足一定的动力性要求的同时,也能实现节能减排。
2.任务分解
(1)文献综述,查找设计背景及研究意义,完成对设计题目的调研工作,能熟练地查找、阅读与综合学术及科技文献及相关行业标准;了解目前国内外混合动力汽车的发展状况和关键技术;收集资料,并完成外文资料翻译。
(2)分析混合动力汽车电驱系统的结构、运行模式、耦合装置及特点,参考相关文献和书籍,将并联式的连接方式引入现有的双动力源混合动力汽车中,提出本次并联式混合动力传动系统的总体设计方案。
(3)设计动力耦合方案,实现转矩和转速耦合输出,完成能量控制策略的分配设计。
(4)电驱动参数系统设计,包括发动机主要性能指标的选择、电动机的额定功率的选择、汽车总功率要求、传动比选择和电池参数的计算;对整车和部件参数进行零件的尺寸设计(转速耦合机构和主减速器)。在设计完零件的大小尺寸后,还要对零件的强度是否符合要求进行校核工作。
(5)利用MATLAB软件,对已匹配设计的混合动力汽车性能进行仿真。
(6)分别绘制转矩耦合装置和主减速器装配图,完成两张A0图纸的工作量;最后撰写论文并进行修改。
二、已完成工作
(1)通过查找文献及相关报告资料,对选题的背景及意义进行了分析,分别对纯电动汽车、燃料电池汽车和混合动力电动汽车的国内外发展进行介绍,以典型车型代表举例具体介绍,从而得出现阶段论文对混合动力电动汽车进行研究设计的意义;
(2)对混合动力动力汽车串联式、并联式和混联式的传动系统结构进行介绍,并对比其优缺点;详细阐述混合动力电驱动系统的设计原理、机械耦合原理、汽车运行模式和控制策略;
并联式电驱动系的具体结构下图所示。图中机械联轴器即为将发动机和电动机输出转矩转速进行耦合的装置。

机械耦合有三种形式,分别是转矩耦合、转速耦合和功率耦合。转矩耦合装置和转速耦合装置均具有三个端口和两个自由度。


(3)对本次设计传动系统进行总体设计,确定并介绍电驱动系统构造,提出本设计的机械耦合装置,制定能量控制分配策略;
在新能源汽车中,电驱动系统代替了传统燃油汽车中发动机、电子控制单元、变速器,并同时发挥它们的作用,它对汽车动力性能指标、以及经济性、舒适性等都具有一定的影响。下图4即为上述电驱动系的信号传递控制图。

在本课题设计中,选用转矩和转速交替耦合的结构作为机械耦合装置,具体的电驱动系结构如下图5所示,根据不同的运行工况,通过设定合理的能量分配控制策略来选择转矩耦合或者转速耦合。

在本次设计的并联式混合动力电动汽车行驶中,我们采用以油为主,以电为辅的形式为其提供驱动力,即以发动机作为动力的主要来源,电动机作为动力的辅助提供源,为汽车起步、加速、制动、爬坡时提供不足的动力或回收多余的动力为蓄电池充电。
当汽车从停止到启动这一过程运行时,必须使峰值电源不断地向驱动系统提供补充的功率,因此,峰值电源也不停地放电,在这种环境下,为了满足车辆不同工况需要电动机提供不同电量的条件,就需要使峰值电源保持在高荷电状态,以确保车辆起步后在不同环境下的稳定运行,从而,我们首先考虑选择动力分配依照峰值电源最大荷电状态的控制策略。此策略的准则是保证发动机的动力全部输出,而电动机动力作为辅助补充或回收能量。
本设计主要根据下图6对并联式混动电驱动系的6种运行模式分别来进行详细制定。

最终总结得出峰值电源最大荷电状态的控制策略流程图。

(4)根据设计方案和要求的动力性指标,首先完成汽车的整体设计,对整车参数、发动机功率、电动机功率、汽车总功率、传动比和可充电蓄电池要求进行设计与计算;
本设计参考并联式混合动力电动汽车比亚迪·秦,汽车的整车参数如下表1。

在本课题设计任务中给定动力性能参数,动力性指标如下表2。

通过以最高车速匀速行驶在的高速公路上所规定所需的功率确定发动机功率,发动机参数总结为下表3。

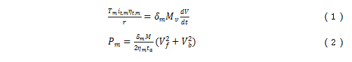
通过汽车加速时与电动机输出转矩的关系式1和根据电动机输出特性和规定的加速性能中汽车起步加速到一定高的车速的加速时间,得到计算电动机的额定功率的公式2。

代入数据计算,得到电动机的额定功率为Pm=74.2kW。
通过绘制汽车阻力功率曲线和发动机功率曲线,可以得到发动机剩余功率为19.93kW,电动机的额定功率为Pm=74.2-19.93=54.27kW,取整得55kW。

电动机参数总结为下表4,蓄电池参数整理到以下表5中。

(5)进行零件的尺寸设计与校核,包括机械耦合装置中所有齿轮的参数选择与齿面接触疲劳强度和弯曲疲劳强度校核,以及主减速器中的齿轮参数确定与齿面接触疲劳强度和弯曲疲劳强度校核。
转矩耦合齿轮设计:

电动机传动齿轮设计齿数:

转速耦合装置齿轮设计齿数:

主减速器齿轮设计齿数:

三、下一步工作计划
(1)学习编程软件MATLAB的编程绘图方法,利用MATLAB软件,对已匹配设计的混合动力汽车性能进行仿真。
(2)根据已完成的机械耦合装置齿轮参数设计和主减速器齿轮参数设计,对其进行装配图的绘制,完成两张A0图纸的工作量。
(3)撰写毕业设计论文,并进行修改和补充,形成论文终稿。

问题一:你目前设计这些参数的依据是什么,怎么确定的?
回答:是根据题目中给出的动力性要求:最高车速、最大爬坡坡度、原地起步加速时间,再参考比亚迪·秦这一并联式混动车型的基本尺寸参数,通过相关公式计算来加以确定。
问题二:对于之后的图纸绘制有没有明确的方向?
回答:目前已经计算了机械耦合装置和主减速器的齿轮参数,图纸根据已经计算的参数画耦合装置的行星齿轮机构和主减速器,相对来说就比较容易完成了。

在这段时间完成部分毕业设计的过程中,我学到了很多方法和应用技能,从最开始的查找相关资料到开始着手毕业设计内容,将以往所学的专业知识都应用在了设计中,同时也学习到了很多新知识,对汽车的传动系统有了更清楚的了解,对于其设计内容有了清晰的认识。同时经过此次中期检查,也更加明确了本设计最终的检验方案,深刻总结了已完成工作中的不足和剩余任务的完成进度安排,对我的毕业设计有很大推动作用。
在前半段的毕业设计中,所有任务安排的正常进行都离不开我的指导老师万里翔老师对我的引导,在每周的答疑中,万里翔老师总是对我一周工作量进行检查,解答我的疑惑,为我指出下一步任务的进行方向并对我加以督促,我的进步离不开老师和我的共同努力。
毕业设计只剩一半的时间,在之后的任务中,我会保持进度按时完成任务,并保证毕业设计质量,完成所有任务顺利进行结题答辩。